Notice
Recent Posts
Recent Comments
Link
반응형
| 일 | 월 | 화 | 수 | 목 | 금 | 토 |
|---|---|---|---|---|---|---|
| 1 | 2 | 3 | 4 | 5 | 6 | 7 |
| 8 | 9 | 10 | 11 | 12 | 13 | 14 |
| 15 | 16 | 17 | 18 | 19 | 20 | 21 |
| 22 | 23 | 24 | 25 | 26 | 27 | 28 |
| 29 | 30 | 31 |
Tags
- BPTT
- CNN
- java
- MAC OS
- 판교퇴근길밋업
- Python
- ann
- 워드프레스
- github branch
- 우분투리눅스
- Django
- 애드센스
- 정보처리기사
- 운영체제
- 리눅스연습문제
- 부스트캠프 AI Tech
- Swing
- AIStages
- 쉽게배우는운영체제
- GitHub
- 파이썬
- ai개발밋업
- backpropagation
- RNN
- 딥러닝
- 2020정보처리기사
- homebrew설치
- 자바
- 운영체제연습문제
- Git
Archives
- Today
- Total
코딩하는 애옹😸
(AI Math 10강) RNN 본문
728x90
반응형
RNN
시퀀스(sequence) 데이터 : 소리, 문자열 주가 등 시점별로 나타나는 것, 순서를 바꾸거나 과거 정보에 손실이 발생하면 데이터의 확률분포도 바뀜
시퀀스 데이터를 다루는 방법 : 조건부 확률 이용
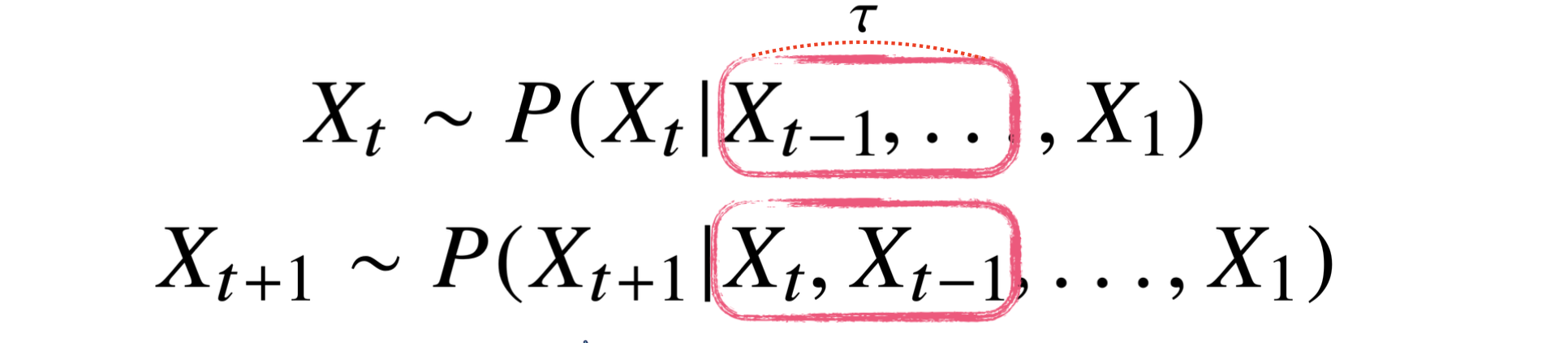
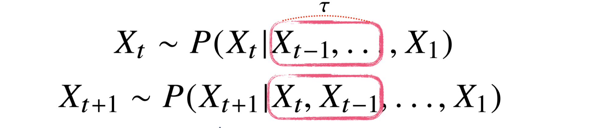
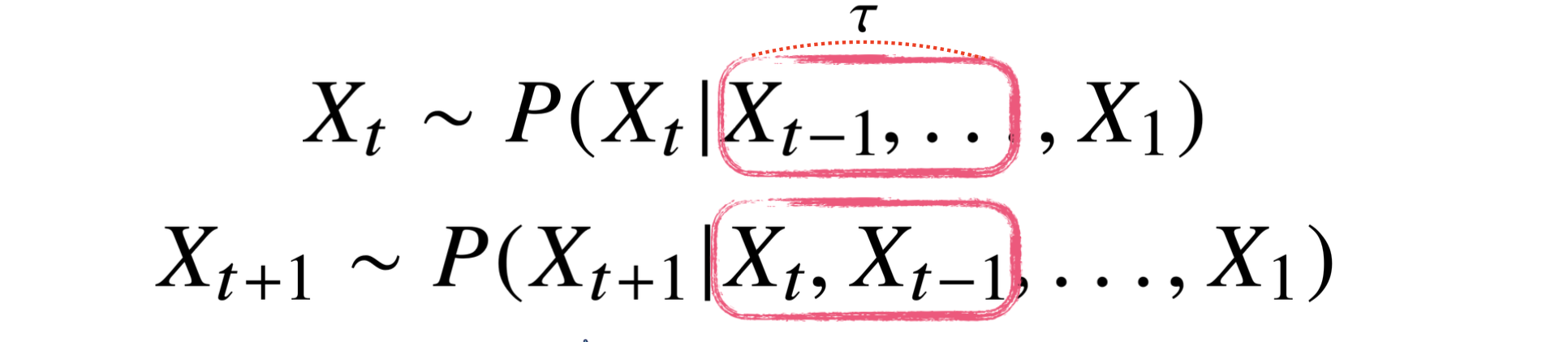
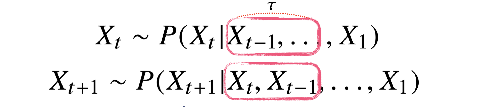
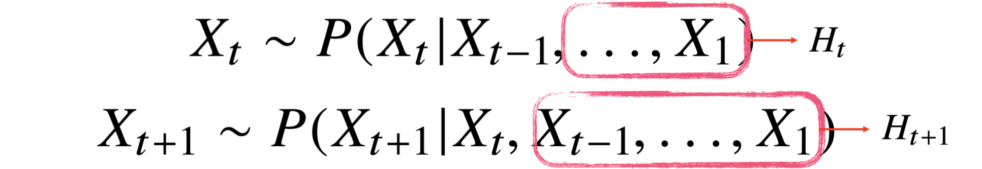
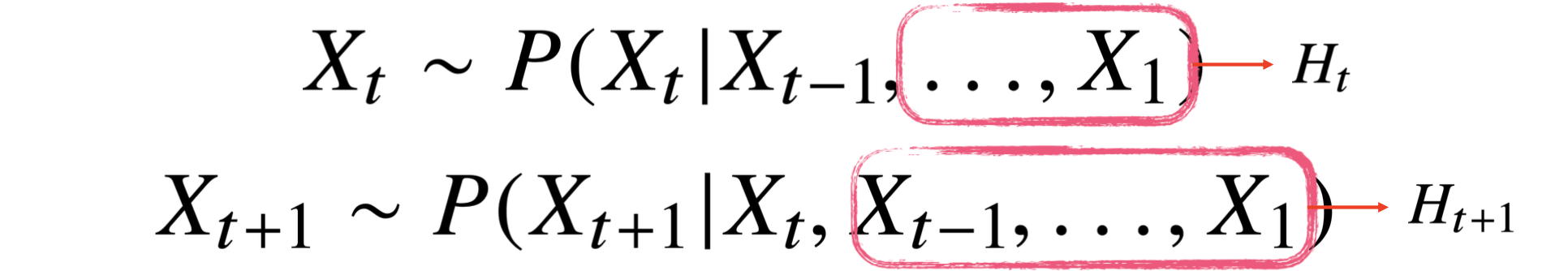
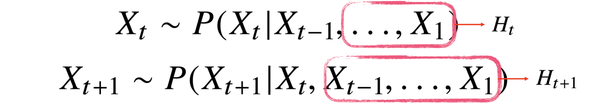
$X_1 ... X_{t-1}$ 까지의 정보가 조건부로 주어진 상황에서 $X_t$를 모델링하는 조건부 확률 분포

- $X_t \sim P(X_t|X_{t-1},...,X_1)$
- 모든 과거 정보가 필요한 것은 아니다
- 조건부의 들어가는 데이터는 가변적
AR($\tau$) 모델
자기회귀모델(Autoregressive Model) : 고정된 길이 $\tau$만큼의 시퀀스만 사용
잠재 AR 모델
직전 정보 $X_{t-1}$와 직전이 아닌 정보들인 잠재변수 $H_t$로 인코딩
- 가변적인 데이터를 고정된 길이의 문제로 바꿀 수 있음

- $H_t$ : 과거 바로 이전의 데이터 $X_{t-1}$와 이전 잠재변수 $H_{t-1}$
RNN 이해하기
이전 순서의 잠재변수와 현재의 입력을 활용
순전파
- 입력으로부터 전달하게 되는 $W_t$와 이전 잠재변수로부터 정보를 전달받게되는 $W_H$를 새로 만들게 됨
- $H_t$ : 현재 들어온 $X_t$와 이전 시점의 $H_{t-1}$을 받아서 만듦
- $H_t$를 다음 시점에도 이용
- 가중치 행렬 $W$는 $t$에 따라서 변하지 않음
역전파 BPTT(Backpropagation Through Time)
잠재변수에 출력값과 다음 시점에서의 잠재변수가 들어옴
- 시퀀스의 길이가 길어질수록 알고리즘의 계산이 불안정하므로 길이를 끊어야 함
- -> truncate BPTT
- 위와 같은 문제를 해결하기 위해 등장한 네트워크 : LSTM, GRU
반응형
'부스트캠프 AI Tech 3기 > Study' 카테고리의 다른 글
| [PyTorch] Basics (0) | 2022.01.25 |
|---|---|
| [예제] BackPropagation (0) | 2022.01.23 |
| (AI Math 9강) CNN (0) | 2022.01.21 |
| (AI Math 8강) 베이즈 통계학 (0) | 2022.01.20 |
| (AI Math 7강) 통계학 맛보기 (0) | 2022.01.20 |
Comments